2021. 1. 9. 19:27ㆍ알고리즘/알고리즘 문제 [easy]
1. 완전 탐색 알고리즘
이 문제는 입력으로 주어진 배열을
먼저 정렬해야한다.
정렬을 하고나면 이 문제는 간단히 풀 수 있다.
어떤 구간에서 평균값이 오차의 최소값이므로
우리는 부분문제를 평균값과 오차의 제곱 합을 따로
구할 수 있는 함수를 구현만하면 된다.
end
quant(begin) = min(quant(hi)+ quantization(begin, hi))
begin = 0 hi = 1
quantization(begin, hi)는 begin부터 hi까지 배열의 평균값 오차의 제곱 합을 반환하는 함수이다.
2. 메모이제이션 적용
Cache[begin][usednum]
= usednumb만큼 양자화를 수행한 상태에서
begin으로 시작하는 배열의 양자화 오차 제곱의 합의 최소값을 가짐
usednumb만큼 배열을 나눈 상태에서 begin으로 시작하는 배열은
그 이전의 수행과 독립이므로
이 함수는 최적 부분 구조가 성립한다고 볼 수 있다.
따라서 이 문제는 동적계획법으로 문제를 해결할 수 있다.
|
1
2
3
4
5
6
7
8
9
10
11
12
13
14
15
16
17
18
19
20
21
22
23
24
25
26
27
28
29
30
31
32
33
34
35
36
37
38
39
40
41
42
43
44
45
46
47
48
49
50
51
52
53
54
55
56
57
|
#include <iostream>
#include <string>
#include <vector>
#include <cstring>
#include <algorithm>
int cache[1000][10];
int seq[1000];
int quantization(int lo, int hi)
{
int average = 0, ret = 0;
for(int i = lo; i < hi; i++)
average += seq[i];
average = ((double) average/(hi-lo)) + 0.5;
for(int i = lo; i < hi; i++)
ret = ret + (average - seq[i])*(average - seq[i]);
return ret;
}
int quant(int lo, int usednum, int s, int seqN)
{
int &ret = cache[lo][usednum];
if(ret != -1) return ret;
if(lo == seqN) return 0;
if(usednum == s) return 12345678;
ret = 12345678;
for(int hi = lo + 1; hi <= seqN; hi++)
ret = std::min(quantization(lo, hi) + quant(hi, usednum + 1,s,seqN), ret);
return ret;
}
int main()
{
int testCase = 0;
int seqN = 0;
int usenum = 0;
std::cin>>testCase;
for(int i = 0; i < testCase; i++)
{
memset(cache, -1, sizeof cache);
std::cin>>seqN>>usenum;
for(int j = 0; j < seqN; j++)
std::cin>>seq[j];
std::sort(seq, seq+seqN);
std::cout<<quant(0, 0,usenum, seqN)<<std::endl;
}
}
|
cs |
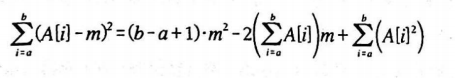
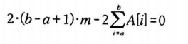
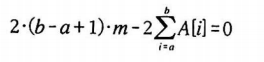
3. 더 빨리 풀 수 있는지?
책에서는 기초 수학을 이용하여 이 문제를 더 빠르게 수행가능한 함수를 구현하였다.

오차의 제곱 합을 식으로 세운뒤
이 식을 풀어보면 이차함수가 나온다.
이차 함수를 미분한 식이 0이되는 해는 이차함수의 극점의 좌표 x값이 된다.


이를 통해 평균을 사용하면 오차를 최소화 할 수 있다는 사실을 알 수 있다.
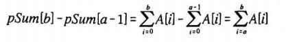
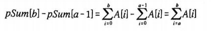
여기서 더 나아가 부분합을 이용하게되면 o(1)만에 수행되는 quantization()함수를 구현할 수 있다.



배열을 입력받고 정렬한뒤 psum 과 제곱의 psum 을
O(n)의 전처리 한번에 구하고 나면 우리는
quantization()함수를 O(1) 만에 수행할 수 있게된다.
(m = psum/b-a+1 )
따라서 알고리즘의 전체 시간 복잡도는 부분문제의 수 O(ns) 에
각 부분 문제의 답을 계산하는데 드는 시간O(n)을 (for문)
곱한 O(n^2s)가 된다.
책의 풀이를 보고 수학적으로 증명하는 것이 중요하다 생각하였다.
'알고리즘 > 알고리즘 문제 [easy]' 카테고리의 다른 글
| [동적 계획법] PACKING 여행짐 싸기 (0) | 2021.01.13 |
|---|---|
| [동적 계획법] NUMB3RS 두니발 박사의 탈옥 (0) | 2021.01.11 |
| [동적 계획법] PI 원주율 외우기 (0) | 2021.01.09 |
| [동적 계획법] WILDCARD 와일드 카드 (0) | 2021.01.07 |
| [분할 정복] QUADTREE (0) | 2021.01.03 |