2021. 2. 8. 10:28ㆍ알고리즘/알고리즘 정리
1. 상호 배타적 집합
상호 배타적 집합을 표현할 때 유니온-파인드(union-find) 자료구조를 쓴다.
이 자료구조는 독특한 트리이다.
전체 집합을 공통 원소가 없는 여러 개의 부분 집합으로 쪼개어 나누어진 원소들(상호배타적인 부분 집합들)
에 대한 정보를 저장하고, 조작하는 자료구조가 유니온-파인드 자료구조이다.
이 자료구조의 핵심 연산은 다음과 같다.
- 초기화: n 개의 원소가 있을 때 자기자신으로만 이루어진 집합들.
- 합치기(union): 두 원소 a, b가 있을때 이들이 속한 두 집합을 하나로 합침
- 찾기(find): 어떤 원소 a가 주어질때 이 원소가 속한 집합을 찾는다.
2. 배열을 사용하여 상호 배타적 집합 표현하기
1차원 배열 하나를 이용하여 표현한다
belongsTo[i] = i번 원소가 속하는 집합의 번호
- 초기화: belongsTo[i] = i => 크기가 1인 n개의 집합
- 찾기: 인덱스 접근 => 상수시간
- 합치기: 모든 원소를 순회하면서 한쪽 집합에 속한 원소들을 다른 쪽 집합으로 이동. O(N)의 시간이 걸림
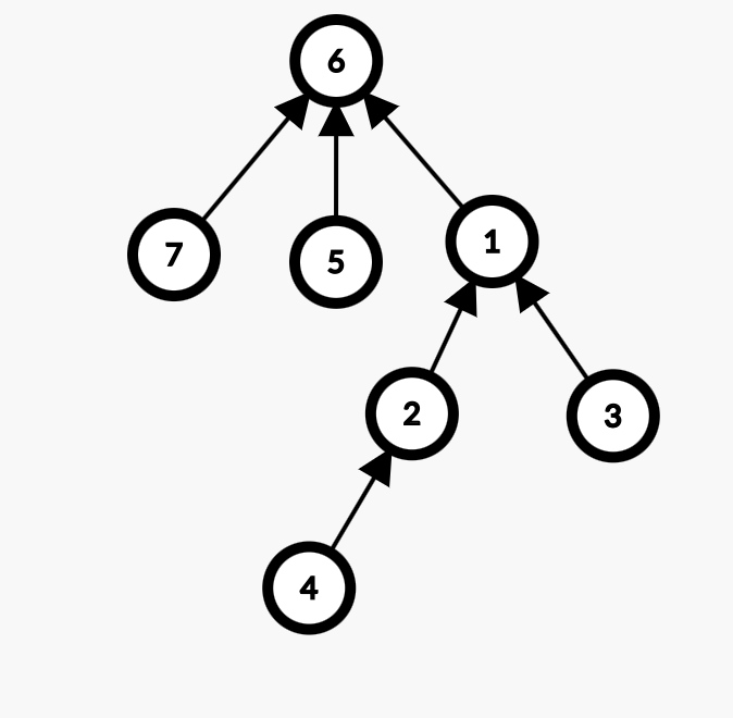
3. 트리를 이용한 상호 배타적 집합 표현
한 집합에 속하는 원소들을 하나의 트리로 묶어서 표현한다.
상호 배터적 집합: 트리들의 집합
두 원소가 같은 트리에 속해있는지 판단: 루트를 찾아 같은지 비교
루트: 각 집합의 대표
찾기연산: 주어진 원소가 포함된 트리의 루트를 찾는 연산 => 모든 자식 노드가 부모에 대한 포인터를 가지고 있어야함.
반면 부모->자식으로 이동하는 경우는 없기 때문에 자식으로가는 포인터는 필요없음.
합치기 연산: 각 트리의 루트를 찾은 후 하나를 다른쪽의 자손으로 이동
두 연산 모두 트리의 높이에 시간 복잡도는 지배된다, 그러므로 O(n)의 시간 복잡도를 가진다.
|
1
2
3
4
5
6
7
8
9
10
11
12
13
14
15
16
|
struct NaiveDisjointSet {
vector<int> parent;
NaiveDisjointSet(int n) : parent(n) {
for(int i = 0; i < n; ++i)
parent[i] = i;
}
int find(int u) const {
if(u == parent[u]) return u;
return find(parent[u]);
}
void merge(int u, int v) {
u = find(u); v = find(v);
if(u == v) return;
parent[u] = v;
}
};
|
cs |
4. 최적화된 상호 배타적 집합(Union-by-Rank)



트리를 이용하여 표현하게 되면 루트의 정보만 바꾸면 되기 때문에 배열로 표현한 것 보다 효율적이다
하지만 연산 순서에 따라 트리의 균형이 무너져 최악의 경우 연결 리스트 형태가되어
모든 연산이 O(n)의 시간 복잡도를 가지게 된다.
이런 상황을 방지하기 위해 두개의 트리 중 낮은 트리를 더 높은 트리에 합침으로써
어느 정도 균형을 유지한다.( 중간그림이 오른쪽 그림보다 높이가 낮다.)
|
1
2
3
4
5
6
7
8
9
10
11
12
13
14
15
16
17
18
|
struct OptimizedDisjointSet {
vector<int> parent, rank;
OptimizedDisjointSet(int n) : parent(n), rank(n, 1) {
for(int i = 0; i < n; i++)
parent[i] = i;
}
int find(int u) {
if( u == parent[u]) return u;
return parent[u] = find(parent[u]);
}
void merge(int u, int v) {
u = find(u); v = find(v);
if(u == v) return;
if(rank[u] > rank[v]) swap(u, v);
parent[u] = v;
if(rank[u] == rank[v]) rank[v]++;
}
};
|
cs |
높이 h인 트리가 생기기 위해서는 높이 h-1인 두개의 트리가 합쳐져야한다.
즉 높이가 1 씩 증가하려면 필요한 원소가 두배씩은 필요하다는 것 이다.
따라서 높이는 노드의 수의 로그에 비례하며 모든 연산은 O(lgn)이 된다.
경로 압축 최적화(path compression)
한번 루트를 찾아낸 후 다음 번에도 호출 되었을 때 바로 접근 할 수 있는 최적화이다.
위의 코드 처럼 찾기 연산을 할때 지나가는 원소들 모두 루트에 연결 시키는 것이다.
이를 통해 find연산을 여러번 실행했을 때
실행마다 수행시간이 변하기 때문에 분할 상환 분석을 이용해서 수행시간을 계산해야한다.
find 와 merge 를 아주 많이 수행했을 때
O(a(n))의 평균시간이 걸린다고 한다.
이것은 모든 크기 n에 대하여 4이하의 값이라는 결과가 나온다고한다.
따라서 두 연산은 모든 입력에서 상수시간이 걸린다고 본다.
(a(n)은 애커만 함수를 이용해 정의되는 함수이다.)
(애커만 함수는 계산 가능성 이론을 연구하는 과정에서 만들어낸 재귀 함수, 엄청나게 빠르게 증가한다.)
(a(n) = 5 가되는 첫 번째 n은 2^(2^(2^65536))이라고 한다., (지구에서 관측할 수 있는 원자의 수는 2^266))
5. 상호 배타적 집합의 사용 예
그래프의 연결성 확인하기:
서로 연결된것 = 하나의 집합
(크루스칼의 최소 스패닝 트리 알고리즘)
가장 큰 집합 추적하기
rank처럼 다른 정보를 추가한 뒤 두 집합이 합쳐질때마다 업데이트하여
합쳐지는 과정에서 집합의 변화를 추적할 수 있다.
- 알고리즘 문제해결전략 765p
'알고리즘 > 알고리즘 정리' 카테고리의 다른 글
| [그래프] Graph 1: 그래프의 표현과 정의 (0) | 2021.02.11 |
|---|---|
| [트리] Tree 9: 트라이, 아호-코라식 알고리즘 (0) | 2021.02.09 |
| [트리] Tree 6: Segment Tree구간 트리 , RMQ, 펜윅 트리(이진 인덱스 트리) (0) | 2021.02.07 |
| [트리] Tree 5: 우선순위 큐와 이진 힙 (0) | 2021.02.06 |
| [트리] Tree 2: 이진 검색 트리, 트립 (0) | 2021.02.04 |